欢迎访问 中国焙烤食品糖制品工业协会! 咨询电话:010-65060065

| English

协会刊物
当前位置:首页 > 法规标准 > 

食品安全国家标准勘误汇总

发布来源: 作者: 发布时间: 2018-07-04 00:00:00

2018年6月食品安全国家标准勘误板块在“国家食品安全标准在线检索平台”正式上线,此次勘误,涉及标准涵盖食品、食品添加剂、保健食品及食品接触材料等领域。

国家食品安全风险评估中心通过标准跟踪评价等工作收集各方对食品安全国家标准的意见和建议。经对意见进行整理,发现部分标准文本存在编辑性错误。按照食品安全国家标准管理相关程序要求,经食品安全国家标准审评委员会秘书处和标准起草人确认,报国家卫生健康委员会同意,对标准文本做出如下更正。

标准号
标准名称

GB 1886.5-2015

食品安全国家标准 食品添加剂 硝酸钠

修改章节 表2

修改前修改后
氯化物(以Cl计),w/% ≥氯化物(以Cl计),w/% ≤

GB 16740-2014

食品安全国家标准 保健食品

修改章节 表3

修改前修改后
0/25g0/25g(mL)

GB 1886.9-2016

食品安全国家标准 食品添加剂 盐酸

修改章节 A.10.1.2.7

修改前修改后
1mL溶液含砷(As)2.5mg1mL溶液含砷(As)2.5µg

GB 1886.20-2016

食品安全国家标准 食品添加剂 氢氧化钠

修改章节 A.4.4.1

修改前修改后
V1-以溴甲酚绿-甲基红为指示液,滴定试验溶液所消耗的氢氧化钠溶液的体积,单位为毫升(mL);V1-以溴甲酚绿-甲基红为指示液,滴定试验溶液所消耗的盐酸标准滴定溶液的体积,单位为毫升(mL);

GB 1886.20-2016

食品安全国家标准 食品添加剂 氢氧化钠

修改章节 A.4.4.1

修改前修改后
V2-以酚酞为指示液,滴定试验溶液所消耗的氢氧化钠溶液的体积,单位为毫升(mL);V2-以酚酞为指示液,滴定试验溶液所消耗的盐酸标准滴定溶液的体积,单位为毫升(mL);

GB 1886.37-2015

食品安全国家标准 食品添加剂 环己基氨基磺酸钠(又名甜蜜素)

修改章节 1

修改前修改后
本标准适用于以葡萄糖为原料经发酵、酯化、转化、精制制得的食品添加剂环己基氨基磺酸钠(又名甜蜜素)本标准适用于以环己胺为原料,氯磺酸或氨基磺酸化合成环己基氨基磺酸后与氢氧化钠作用而制得的食品添加剂环己基氨基磺酸钠(又名甜蜜素)。

GB 1886.37-2015

食品安全国家标准 食品添加剂 环己基氨基磺酸钠(又名甜蜜素)

修改章节 表2

修改前修改后
环己基氨基磺酸钠含量(以干基计),w/% ≥环己基氨基磺酸钠含量(以干基计),w/%

GB 1886.103-2015

食品安全国家标准 食品添加剂 微晶纤维素

修改章节 A.2.2

修改前修改后
取鉴别试验A.2.2.1中的分散液为试样溶液,在20 mL试样溶液中加入1 mL 淀粉指示液(10 g/L),加几滴碘标准溶液(0.1 mol/L),无紫色至蓝色或蓝色出现。取鉴别试验A.2.2.1中的分散液为试样溶液,在20mL试样溶液中加入几滴碘试液,无紫色至蓝色或蓝色出现。

GB 1886.174-2016

食品安全国家标准 食品添加剂 食品工业用酶制剂

修改章节 A.3.5.2

修改前修改后
……准确加入碘标准溶液0.0 mL…..…….准确加入碘标准溶液10.0 mL…….

GB 1886.180-2016

食品安全国家标准 食品添加剂 β-环状糊精

修改章节 A.3.3.2

修改前修改后
流动相:“甲醇+水=94+6”A.3.3.2流动相:“水+甲醇=94+6”

GB 1886.216-2016

食品安全国家标准 食品添加剂 氧化镁(包括重质和轻质)

修改章节 A.4.3

修改前修改后
称取约5g试样,精确至0.0002g称取约5g预先于875 ℃±25 ℃灼烧至质量恒定的试样,精确至0.0002g

GB 1886.228-2016

食品安全国家标准 食品添加剂 二氧化碳

修改章节 A.14.1

修改前修改后
按照GBZ/T 160.29规定的方法进行测定,固态和液态二氧化碳应气化后取样测定将GBZ/T 160.29-2004中的4.3.2吸收液稀释100倍,然后按照GBZ/T 160.29-2004规定的方法进行测定,固态和液态二氧化碳应气化后取样测定

GB 1886.228-2016

食品安全国家标准 食品添加剂 二氧化碳

修改章节 A.15.1

修改前修改后
按照GBZ/T 160.29规定的方法进行测定,固态和液态二氧化碳应气化后取样测定将GBZ/T 160.29-2004中的5.3.1吸收液稀释10倍,然后按照GBZ/T 160.29-2004规定的方法进行测定,固态和液态二氧化碳应气化后取样测定

GB 1886.296-2016

食品安全国家标准食品添加剂 柠檬酸铁铵

修改章节 附录A

修改前修改后
盐酸溶液:1+9盐酸溶液:1+3

GB 1888-2014

食品安全国家标准 食品添加剂 碳酸氢铵

修改章节 A.8

修改前修改后
以下按GB/T 5009.11进行测定以下按GB 5009.11或GB 5009.76进行测定

GB 2760-2014

食品安全国家标准 食品添加剂使用标准

修改章节 第18页 第23页 第58页

修改前修改后
11.01食糖11.01.01白糖及白糖制品(如白砂糖、绵白糖、冰糖、方糖等) 11.01.02其他糖和糖浆[如红糖、赤砂糖、冰片糖、原糖、果糖(蔗糖来源)、糖蜜、部分转化糖、槭树糖浆等]

GB 2760-2014

食品安全国家标准 食品添加剂使用标准

修改章节 第29页

修改前修改后
β-胡萝卜素的INS号160(a)β-胡萝卜素的INS号160a

GB 2761-2017

食品安全国家标准 食品中真菌毒素限量

修改章节 表A.1

修改前修改后
固体饮料[包括速溶咖啡、研磨咖啡(烘培咖啡)]固体饮料[包括速溶咖啡、研磨咖啡(烘焙咖啡)]

GB 2762-2017

食品安全国家标准 食品中污染物限量

修改章节 表A.1

修改前修改后
固体饮料[包括速溶咖啡、研磨咖啡(烘培咖啡)]固体饮料[包括速溶咖啡、研磨咖啡(烘焙咖啡)]

GB 4789.42-2016

食品安全国家标准 食品微生物学检验 诺如病毒检验

修改章节 附录A

修改前修改后
QNIFs(探针):5’-FAM-AGC ACG TGG GAG GGC GAT GG-TAMRA-3’QNIFs(探针):5’-FAM-AGC ACG TGG GAG GGC GAT CG-TAMRA-3’

GB 4806.6-2016

食品安全国家标准 食品接触用塑料树脂

修改章节 第18页

修改前修改后
注5:干燥失重(100℃,2h)注5:干燥失重(90℃~95℃,2h)

GB 4806.6-2016

食品安全国家标准 食品接触用塑料树脂

修改章节 附录A

修改前修改后
第81号物质“聚己内酰胺(聚酰胺6)”的CAS号25308-54-4CAS号25038-54-4

GB 5009.3-2016

食品安全国家标准 食品中水分的测定

修改章节 前言

修改前修改后
本标准代替……,GB/T 5497-1985 《粮食、油料检验水分测定法》,…….。本标准代替……,GB/T 5497-1985 《粮食、油料检验水分测定法》第一法 105℃恒重法,……。

GB 5009.9-2016

食品安全国家标准 食品中淀粉的测定

修改章节 5.1.1

修改前修改后
……再用约100mL乙醇(85%,体积比)分次充分洗去可溶性糖类。……再用约100mL乙醇(85%,体积比)分次充分洗去可溶性糖类。根据样品的实际情况,可适当增加洗涤液的用量和洗涤次数,以保证干扰检测的可溶性糖类物质洗涤完全。

GB 5009.9-2016

食品安全国家标准 食品中淀粉的测定

修改章节 11.1.1

修改前修改后
……用150mL乙醇(85%,体积比)分数次洗涤残渣,以充分除去可溶性糖类物质。……用150mL乙醇(85%,体积比)分数次洗涤残渣,以充分除去可溶性糖类物质。根据样品的实际情况,可适当增加洗涤液的用量和洗涤次数,以保证干扰检测的可溶性糖类物质洗涤完全。

GB 5009.24-2016

食品安全国家标准 食品中黄曲霉毒素M族的测定

修改章节 3.3.3

修改前修改后
C17H14O713C17H14O7

GB 5009.44-2016

食品安全国家标准 食品中氯化物的测定

修改章节 前言

修改前修改后
删除原来按食品类别测定的各种方法删除“删除原来按食品类别测定的各种方法”字样

GB 5009.44-2016

食品安全国家标准 食品中氯化物的测定

修改章节 5.2.1

修改前修改后
….离心10min,取部分滤液测定。离心10min,取部分上清液测定。

GB 5009.44-2016

食品安全国家标准 食品中氯化物的测定

修改章节 17.3

修改前修改后
称取1g氢氧化钠称取0.1g氢氧化钠

GB 5009.82-2016

食品安全国家标准 食品中维生素A、D、E的测定

修改章节 17.4.2

修改前修改后
准确称取维生素D2 标准品10.0mg准确称取维生素D3 标准品10.0mg

GB 5009.86-2016

食品安全国家标准 食品中抗坏血酸的测定

修改章节 全文

修改前修改后
文本中所有 “D(+)-抗坏血酸”均修改为“D(-)-抗坏血酸”

GB 5009.90-2016

食品安全国家标准 食品中铁的测定

修改章节 第三法 电感耦合等离子体质谱法

修改前修改后
见GB 50069.268见GB 5009.268

GB 5009.111-2016

食品安全国家标准 食品中脱氧雪腐镰刀菌烯醇及其乙酰化衍生物的测定

修改章节 3.3.2 3.3.3

修改前修改后
C17H22O6C17H22O7

GB 5009.111-2016

食品安全国家标准 食品中脱氧雪腐镰刀菌烯醇及其乙酰化衍生物的测定

修改章节 3.3.5

修改前修改后
13C17H22O613C17H22O7

GB 5009.118-2016

食品安全国家标准 食品中T-2毒素的测定

修改章节 5.1.1

修改前修改后
将样品研磨,硬质的粮食等用高速粉碎机磨细并通过试验筛。称取2 5 .0g ( 精确到0 . 1g ) 过筛样品于容量瓶中, 用提取液定容至1 0 0m L , 转移至均质杯中, 以均质器高速搅拌提取2 m i n , 定量滤纸过滤。移取1 0 . 0m L 滤液加入4 0m L 水稀释混匀, 经玻璃纤维滤纸过滤至滤液澄清, 滤液备用。将样品研磨,硬质的粮食等用高速粉碎机磨细并通过试验筛。称取25.0g(精确到0.1g)试样于烧杯中,用提取液溶解,转移至容量瓶中,用提取液定容至100ml,混匀,涡旋振荡提取10min,定量滤纸过滤。移取10.0mL滤液加入40mL水稀释混匀,经玻璃纤维滤纸过滤至滤液澄清,滤液备用。

GB 5009.24-2016

食品安全国家标准 食品中黄曲霉毒素M族的测定

修改章节 12.3 (e)

修改前修改后
检测波长:发射波长360nm;激发波长430nm检测波长: 激发波长360nm; 发射波长430nm

GB 5009.157-2016

食品安全国家标准 食品中有机酸的测定

修改章节 3.4.1

修改前修改后
酒石酸、苹果酸、乳酸、柠檬酸、丁二酸和富马酸混合标准储备溶液:分别称取酒石酸1.25g、苹果酸2.5g、乳酸2.5g、柠檬酸2.5g、丁二酸6.25g(精确至0.01g)和富马酸2.5mg(精确至0.01mg)于50mL小烧杯中,加水溶解,用水转移到50mL容量瓶中,定容,混匀,于4℃保存,其中酒石酸质量浓度为2500μg/mL、苹果酸5000μg/mL、乳酸5000μg/mL、柠檬酸5000μg/mL、丁二酸12500μg/mL和富马酸12.5μg/mL。酒石酸、苹果酸、乳酸、柠檬酸、丁二酸和富马酸混合标准储备溶液:分别称取酒石酸1.25g、苹果酸2.5g、乳酸2.5g、柠檬酸2.5g、丁二酸6.25g(精确至0.01g)和富马酸2.5mg(精确至0.01mg)于50mL小烧杯中,加水溶解,用水转移到50mL容量瓶中,定容,混匀,于4℃保存,其中酒石酸质量浓度为25000μg/mL、苹果酸50000μg/mL、乳酸50000μg/mL、柠檬酸50000μg/mL、丁二酸125000μg/mL和富马酸50μg/mL。

GB 5009.209-2016

食品安全国家标准 食品中玉米赤霉烯酮的测定

修改章节 前言

修改前修改后
本标准代替GB/T 5009.209-2008《谷物中玉米赤霉烯酮的测定》、GB/T 23504-2009《食品中玉米赤霉烯酮的测定免疫亲和层析净化高效液相色谱法》、GB/T 21982-2008《动物源食品中玉米赤霉醇、β-玉米赤霉醇、α-玉米赤霉烯醇、β-玉米赤霉烯醇、玉米赤霉酮和玉米赤霉烯酮残留量检测方法 液相色谱-质谱/质谱法》、SN/T 1745-2006《进出口大豆、油菜籽和食用植物油中玉米赤霉烯酮的检验方法》、SN/T 1772-2006《进出口粮谷中玉米赤霉烯酮的测定 免疫亲和柱-液相色谱法》。本标准代替GB/T 5009.209-2008《谷物中玉米赤霉烯酮的测定》、GB/T 23504-2009《食品中玉米赤霉烯酮的测定免疫亲和层析净化高效液相色谱法》、SN/T 1745-2006《进出口大豆、油菜籽和食用植物油中玉米赤霉烯酮的检验方法》、SN/T 1772-2006《进出口粮谷中玉米赤霉烯酮的测定 免疫亲和柱-液相色谱法》,代替GB/T 21982-2008《动物源食品中玉米赤霉醇、β-玉米赤霉醇、α-玉米赤霉烯醇、β-玉米赤霉烯醇、玉米赤霉酮和玉米赤霉烯酮残留量检测方法 液相色谱-质谱/质谱法》中玉米赤霉烯酮的检测方法。

GB 5009.210-2016

食品安全国家标准 食品中泛酸的测定

修改章节 前言

修改前修改后
本标准代替GB/T 5009.210-2008《食品中泛酸的测定》本标准代替GB/T 5009.210-2008《食品中泛酸的测定》、GB 5413.17-2010《食品安全国家标准 婴幼儿食品和乳品中泛酸的测定》。

GB 5009.211-2014

食品安全国家标准 食品中叶酸的测定

修改章节 前言

修改前修改后
本标准代替GB/T 5009.211-2008《食品中叶酸的测定》。本标准代替GB/T 5009.211-2008《食品中叶酸的测定》、GB 5413.16-2010《食品安全国家标准 婴幼儿食品和乳品中叶酸(叶酸盐活性)的测定》。

GB 5009.211-2014

食品安全国家标准 食品中叶酸的测定

修改章节 6.8

修改前修改后
注2:叶酸测定也可采用预包埋菌种的叶酸测定用试剂盒(微生物法),测定过程应参照试剂盒说明书,效果相当删除“注2”

GB 5009.225-2016

食品安全国家标准 酒中乙醇浓度的测定

修改章节 表 B.1 (续)

修改前修改后
第102页和103页重复将第102页中的整个“表 B.1 (续)”替换 为附件 中的“GB 5009 .225-2016 新表 B.1 (续)”

GB 5009.228-2016

食品安全国家标准 食品中挥发性盐基氮的测定

修改章节 前言

修改前修改后
代替SC/T3032—2001《水产品中挥发性盐基氮的测定》代替SC/T3032—2007 《水产品中挥发性盐基氮的测定》

GB 5009.239-2016

食品安全国家标准 食品酸度的测定

修改章节 6

修改前修改后
V5——试样滤液消耗的氢氧化钾标准溶液体积,……V0——空白试验消耗的氢氧化钾标准溶液体积,……c5——氢氧化钾标准溶液的浓度,……V5——试样滤液消耗的氢氧化钠标准溶液体积,……V0——空白试验消耗的氢氧化钠标准溶液体积,……c5——氢氧化钠标准溶液的浓度,……

GB 5009.250-2016

食品安全国家标准 食品中乙基麦芽酚的测定

修改章节 图B.1

修改前修改后
图B.1中的标注乙基麦芽酚的离子对171.1/71.1;乙基麦芽酚的离子对171.1/126.1图B.1中的标注乙基麦芽酚的离子对141.1/71.1;乙基麦芽酚的离子对141.1/126.1

GB 5009.257-2016

食品安全国家标准 食品中反式脂肪酸的测定

修改章节 前言

修改前修改后
——将被分析物扩充至C16:1t~C22:1t等15种反式脂肪酸。——将被分析物扩充至C16:1t~C22:1t等16种反式脂肪酸。

GB 5009.257-2016

食品安全国家标准 食品中反式脂肪酸的测定

修改章节 表1

修改前修改后
C18:2 10t,12c删除该化合物

GB 5009.257-2016

食品安全国家标准 食品中反式脂肪酸的测定

修改章节 表A.1

修改前修改后
反-10-顺-12-十八碳二烯酸甲酯删除该化合物

GB 5009.257-2016

食品安全国家标准 食品中反式脂肪酸的测定

修改章节 表A.1

修改前修改后
顺-9-反-12-十八碳二烯酸甲酯增加该化合物

GB 5009.257-2016

食品安全国家标准 食品中反式脂肪酸的测定

修改章节 表A.1

修改前修改后
反-9-顺-12-十八碳二烯酸甲酯增加该化合物

GB 5009.270-2016

食品安全国家标准 食品中肌醇的测定

修改章节 1

修改前修改后
本标准第一法适用于食品中肌醇的测定, 本标准第二法适用于调制乳品、 饮料中肌醇的测定。本标准第一法适用于食品中肌醇的测定,,本标准第二法适用于婴幼儿食品、乳品及饮料中肌醇的测定。

GB 5413.38-2016

食品安全国家标准 生乳冰点的测定

修改章节 3.3

修改前修改后
1)3.3.1标准溶液A:称取6.731g氯化钠(3.2.1); 2)3.3.2标准溶液B:称取9.422 g氯化钠(3.2.1) ; 3)3.3.3标准溶液C:称取10.161 g氯化钠(3.2.1) 。1)3.3.1标准溶液A:称取6.763g氯化钠(3.2.1); 2)3.3.2标准溶液B:称取9.475 g氯化钠(3.2.1); 3)3.3.3标准溶液C:称取10.220 g氯化钠(3.2.1)。

GB 8270-2014

食品安全国家标准 食品添加剂 甜菊糖苷

修改章节 2.2

修改前修改后
9种糖苷的压合物名称9种糖苷的化合物名称

GB 8270-2014

食品安全国家标准 食品添加剂 甜菊糖苷

修改章节 表1

修改前修改后
9种糖苷的压合物名称9种糖苷的化合物名称

GB 8270-2014

食品安全国家标准 食品添加剂 甜菊糖苷

修改章节 表3

修改前修改后
甜菊糖苷含量的检验方法 “附录A中A.4”甜菊糖苷含量的检验方法由“附录A中A.3”

GB 8270-2014

食品安全国家标准 食品添加剂 甜菊糖苷

修改章节 表3

修改前修改后
食品安全国家标准 食品添加剂 甜菊糖苷甜菊糖苷含量的检验方法由“附录A中A.3”

GB 29205-2012

食品安全国家标准 食品添加剂 硫酸

修改章节 A.4.2.2

修改前修改后
甲基红指示液甲基橙指示液

GB 29205-2012

食品安全国家标准 食品添加剂 硫酸

修改章节 A.5.2

修改前修改后
A比色管中加入10mL试样,冷却……。B比色管中边滴加0.1 mL硝酸盐标准溶液边混匀,……A比色管中加入10 g试样,冷却……。B比色管中边滴加1.0 mL硝酸盐标准溶液边混匀,……

GB 30605-2014

食品安全国家标准 食品添加剂 甘氨酸钙

修改章节 表2

修改前修改后
甘氨酸钙含量[以Ca(OOCCH2NH2).H2O计]甘氨酸钙含量[以Ca(OOCCH2NH2)2.H2O计]

GB 30605-2014

食品安全国家标准 食品添加剂 甘氨酸钙

修改章节 A.2.2.2

修改前修改后
称取约0.1g试样,精确至0.01g……称取约0.1g试样,精确至0.01g,溶于10mL水中,……..

GB 30605-2014

食品安全国家标准 食品添加剂 甘氨酸钙

修改章节 A.3.4

修改前修改后
M[Ca(OOCCH2NH2).H2O]=206.21M[Ca(OOCCH2NH2)2.H2O]=206.21

GB 30605-2014

食品安全国家标准 食品添加剂 甘氨酸钙

修改章节 A.4.4

修改前修改后
c --EDTA标准滴定溶液浓度的准确数值c---盐酸标准滴定溶液浓度的准确数值

GB 30606-2014

食品安全国家标准 食品添加剂 甘氨酸亚铁

修改章节 表2

修改前修改后
总铁(以干基计),w% ≦总铁(以干基计),w%

GB 30606-2014

食品安全国家标准 食品添加剂 甘氨酸亚铁

修改章节 A.2.2.2

修改前修改后
称取约0.1g试样,精确至0.01g,…..称取约0.1g试样,精确至0.01g, 溶于10mL水中,

GB 30606-2014

食品安全国家标准 食品添加剂 甘氨酸亚铁

修改章节 A.4.4

修改前修改后
c---EDTA标准滴定溶液浓度的准确数值c---盐酸标准滴定溶液浓度的准确数值

GB 30613-2014

食品安全国家标准 食品添加剂 磷酸氢二铵

修改章节 表2

修改前修改后
GB/T 5009.11GB 5009.11或GB 5009.76

GB 30614-2014

食品安全国家标准 食品添加剂 氧化钙

修改章节 A.6

修改前修改后
按照GB/T 5009.11中的规定进行测定按照GB 5009.11或GB 5009.76中的规定进行测定

GB 31604.10-2016

食品安全国家标准 食品接触材料及制品 2,2-二(4-羟基苯基)丙烷(双酚A)迁移量的测定

修改章节 3.11

修改前修改后
……所用试剂依照GB 5009.156的规定……所用试剂依照GB 31604.1的规定

GB 31604.10-2016

食品安全国家标准 食品接触材料及制品 2,2-二(4-羟基苯基)丙烷(双酚A)迁移量的测定

修改章节 4.1.2.2

修改前修改后
删去原项目下所有内容按照 GB 5009.156及 GB 31604.1的要求, 对样品进行迁移试验, 得到食品模拟物试液。

GB 31604.26-2016

食品安全国家标准 食品接触材料及制品 环氧氯丙烷的测定和迁移量的测定

修改章节 前言

修改前修改后
本标准代替GB/T 23296.7-2009 《食品接触材料 塑料中环氧氯丙烷含量的测定 高效液相色谱法》本标准代替GB/T 23296.7-2009 《食品接触材料 塑料中表氯醇含量的测定 高效液相色谱法》

GB 31604.34-2016

食品安全国家标准 食品接触材料及制品 铅的测定和迁移量的测定

修改章节 19.1

修改前修改后
同5.1。同12.1。

GB 31604.36-2016

食品安全国家标准 食品接触材料及制品 软木中杂酚油的测定

修改章节 附表A.1

修改前修改后
2,4-二甲基苯酚的CAS号 15-67-92,4-二甲基苯酚的CAS号105-67-9

GB 31604.37-2016

食品安全国家标准 食品接触材料和制品 三乙胺和三正丁胺的测定

修改章节 3.2

修改前修改后
三正丁胺的CAS号 121-44-8三正丁胺的CAS号102-82-9

GB 31604.43-2016

食品安全国家标准 食品接触材料及制品 乙二胺和己二胺迁移量的测定

修改章节 3.3

修改前修改后
1.3-丙二胺的CAS号 78-90-01.3-丙二胺的CAS号109-76-2

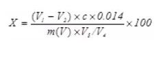
GB 5009.235-2016

食品安全国家标准 食品中氨基酸态氮的测定

修改章节 5.1

修改前修改后
称量5.0 g试样于50 mL的烧杯中,称量5.0 g(或吸取5.0 mL)试样于50 mL的烧杯中,

GB 5009.235-2016

食品安全国家标准 食品中氨基酸态氮的测定

修改章节 6

修改前修改后
X ——试样中氨基酸态氮的含量,单位为克每百克(g/100 g);X —— 试样中氨基酸态氮的含量,单位为克每百克(g/100 g)或克每百毫升(g/100 mL);

GB 5009.235-2016

食品安全国家标准 食品中氨基酸态氮的测定

修改章节 6

修改前修改后
m ———称取试样的质量,单位为克(g);m ———称取试样的质量,单位为克(g); V ———吸取试样的体积,单位为毫升(mL);

GB 5009.235-2016

食品安全国家标准 食品中氨基酸态氮的测定

修改章节 11.1

修改前修改后
称量1.00 g试样于50 mL容量瓶中,称量1.00 g (或吸取1.0 mL)试样于50 mL容量瓶中,

GB 5009.235-2016

食品安全国家标准 食品中氨基酸态氮的测定

修改章节 12

修改前修改后
X ——试样中氨基酸态氮的含量,单位为克每百克(g/100 g);X —— 试样中氨基酸态氮的含量,单位为克每百克(g/100 g)或克每百毫升(g/100 mL);

GB 5009.235-2016

食品安全国家标准 食品中氨基酸态氮的测定

修改章节 12

修改前修改后
m1 ——称取试样的质量,单位为克(g);m1 ——称取试样的质量,单位为克(g); V ——吸取试样的体积,单位为毫升(mL);

GB 1903.15-2016

食品安全国家标准 食品营养强化剂 醋酸钙(乙酸钙)

修改章节 3.2

修改前修改后
乙酸钙(C4H6O4Ca)含量,w/%乙酸钙(C4H6O4Ca)含量(以无水物计),w/%

GB 5009.7-2016

食品安全国家标准 食品中还原糖的测定

修改章节 6

修改前修改后
F---系数,对5.1.1,5.1.3,5.1.4为1;5.1.2为0.8F---系数,对5.1.1为0.8,其余为1

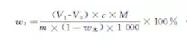
GB 1886.90-2015

食品安全国家标准 食品添加剂 硅酸钙

修改章节A.5

修改前修改后

901.jpg

902.jpg

GB 1886.90-2015

食品安全国家标准 食品添加剂 硅酸钙

修改章节 A.6

修改前修改后

903.jpg

904.jpg

GB 5009.88-2014

食品安全国家标准 食品中膳食纤维的测定

修改章节 6.4

修改前修改后

881.jpg

882.jpg

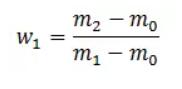
GB 5009.235-2016

食品安全国家标准 食品中氨基酸态氮的测定

修改章节 6

修改前修改后

2351.jpg

2352.jpg

GB 5009.235-2016

食品安全国家标准 食品中氨基酸态氮的测定

修改章节 12

修改前修改后

2353.jpg

2354.jpg

GB 8538-2016

食品安全国家标准 饮用天然矿泉水检验方法

修改章节 46.1.2.10.2

修改前修改后

8538.jpg

8538-.jpg

GB 5009.248-2016

食品安全国家标准 食品中叶黄素的测定

修改章节 附录A

修改前修改后

2481.jpg

2482.jpg

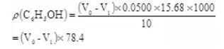
GB 1903.15-2016

食品安全国家标准 食品营养强化剂 醋酸钙(乙酸钙)

修改章节 A.4.4

修改前修改后

151.jpg

152.jpg

GB 5009.211-2014

食品安全国家标准 食品中叶酸的测定

修改章节 页眉

修改前修改后
GB 5009.211-2016GB 5009.211-2014

GB 5009.44-2016

食品安全国家标准 食品中氯化物的测定

修改章节 页眉

修改前修改后
GB 29954-2013GB 5009.44-2016


下一篇:返回列表

中国焙烤食品糖制品工业协会

中国焙烤糖制品协会冷冻食品 专委会

中国国际焙烤展览会 BakeryChina

中国焙烤杂志

中国甜食工业